Τα μαθηματικά μας εντυπωσιάζουν όταν διαβάζουμε διαφορετικούς τρόπους επίλυσης ενός ερωτήματος που μέχρι εκείνη τη στιγμή το λύναμε με ένα κλασικό τρόπο!
Κάθε τρόπος μπορεί να περιέχει μια ευφυής σκέψη και να μας ανοίγει τον μυαλό για την επίλυση διαφορετικών ασκήσεων.
Για να υπάρχει μια πληρότητα στις λύσεις και να βοηθήσουμε τα Βαθμολογικά Κέντρα (Β.Κ) στην πιο εύκολη διόρθωση αναρτούμε τις λύσεις που υπέπεσαν στην αντίληψή μας.
Δίνουμε συγχαρητήρια στους μαθητές που παρόλο την πίεση είδαν τη λύση υπό τη δική τους οπτική γωνία. Αναμένουμε τη συμμετοχή σας για να μεγαλώσει η λίστα αυτή!
Γ3. Υποχρεωτικά πρόσημο τριωνύμου;
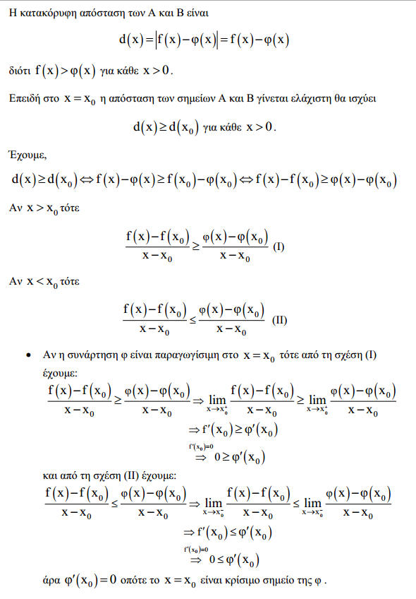
Όχι φυσικά! Δείτε τι έκανε ένας μαθητής! Ακρότατο για την f ' !Γ4. Με αλγεβρική επίλυση
Ένας μαθητής και ένας καθηγητής μας προτείνουν τρόπους επίλυσης χωρίς να πάρουμε ακρότατο για την f. Πώς; Δείτε παρακάτω τις φωτογραφίες.Δ3. Με λιγότερες πράξεις
Ο αγαπητός φίλος μας Θοδωρής Παγώνης μας προτείνει όμοια μια εντυπωσιακή απόδειξη που γλυτώνουμε αρκετές πράξεις!
Δ4. Χωρίς περιπτώσεις
Δ4. Ένας διαφορετικός τρόπος







Γεια σασ καλησπερα επειδη στο Δ2 εχω προσωρησει τις σκεψεις και εχω βρει την παραγωγο στο χο οτι ειναι ιση με 0 και το xolnxo οτι ειναι ισο με 1 παιρνω κατι απο τα 6 μορια;
ΑπάντησηΔιαγραφήΚαι οσον αφορα το δ3 παιρνω κατι επειδη εγραψα τι γιβεται οταν έχουν κοινο σημείο δλδ οτι ειναι ισες οι συναρτησεις και οταν εχουν κοινη εφαπτομενη οτι η συντελεστες ειναι ισοι θα παρω κατι απο τα 8 μορια;;
Και στα 2 ερωτήματα, κάτι θα πάρεις... Καλά αποτελεσματα
ΔιαγραφήEuxaristo poly
ΔιαγραφήΑγαπητέ μαθητή, σου ευχόμαστε καλά αποτελέσματα. Δεν μπορούμε και ίσως ΔΕΝ πρέπει να κάνουμε έλεγχο χωρίς να έχουμε το γραπτό σου, είναι σαν να κάνουμε διάγνωση χωρίς τον ασθενή!
ΑπάντησηΔιαγραφήΕπομένως, ότι έγραψες - έγραψες, δεν αλλάζει, το μόνο που αλλάζει είναι να είσαι συγκεντρωμένος στα υπόλοιπα μαθήματα που δίνεις.
Καλή δύναμη και καλή συνέχεια!
Έχω τη γνώμη ότι στο "Δ4 χωρίς περιπτώσεις" χρειάζονται οι περιπτώσεις. Πώς γράφουμε για παράγωγο στο χο αφού δεν δίνεται ότι είναι παραγωγίσιμη στο χο; Κατά την άποψή μου, θα έπρεπε να γράψουμε:
ΑπάντησηΔιαγραφήΈστω ότι το χο δεν είναι κρίσιμο σημείο της φ. Τότε:
i) Αν η φ δεν είναι παραγωγίσιμη στο χο, τότε άτοπο (γιατί τότε το χο θα ήταν κρίσιμο σημείο)
ii) Αν η φ είναι παραγωγίσιμη στο χο, τότε ... (η συνέχεια όπως στο "Δ4 χωρίς περιπτώσεις")
Γι αυτό είναι εξαιρετική ιδέα! Γιατί παίρνουμε την άρνηση του κρίσιμου σημείου που δεν θέλει δύο περιπτώσεις. Προκύπτει από τις γνώσεις άρνησης μια πρότασης.
ΔιαγραφήΠοια είναι η άρνηση του "ή"; Το "και", επομένως:
χ0 κρίσιμο σημείο σημαίνει: "η φ'(χ0)=0 Ή η φ δεν παραγωγίζεται".
χ0 όχι κρίσιμο σημείο σημαίνει: " η φ'(χ0) # 0 ΚΑΙ η φ παραγωγίζεται"
Ουσιαστικά το ίδιο πράγμα λέμε, απλά επειδή δεν δίνεται η ύπαρξη της παραγώγου πιστεύω ότι είναι αναγκαία η παράθεση των 2 περιπτώσεων ακόμα και με τον τρόπο της άτοπο απαγωγής.
ΑπάντησηΔιαγραφήΜε την ίδια λογική, αν υποθέσουμε ότι μια συνάρτηση δεν είναι συνεχής στο x0, να εξετάσουμε επίσης 2 περιπτώσεις: α) η συνάρτηση να είναι παραγωγίσιμη στο x0 και β)η συνάρτηση να μην είναι παραγωγίσιμη στο x0. Νομίζω συνάδελφε πως οφείλεις να παραδεχτείς ότι έχεις κάνει λάθος! Η απάντηση του Μάκη με καλύπτει πλήρως! Στα Μαθηματικά δεν υπάρχει ολίγον έγκυος!
ΔιαγραφήΕμένα πάντως δεν με καλύπτει. Σε αυτό που έγραψα στο αρχικό μου σχόλιο μπορείς να μου επισημάνεις πού είναι το λάθος;
ΔιαγραφήΤα Μαθηματικά, ή τα καταλαβαίνεις ή δεν τα καταλαβαίνεις! Ενδιάμεσες καταστάσεις δεν υπάρχουν! Δεν θα ασχοληθώ άλλο, γιατί υπάρχει και το ποδόσφαιρο! Μπορείς να έχεις όποια άποψη θέλεις και πολύ περισσότερο να νομίζεις ότι είναι και σωστή! Κακώς μπήκα στη διαδικασία να εξηγώ!
ΔιαγραφήΔεν πειράζει κι εγώ βλέπω ποδόσφαιρο, αλλά τα μαθηματικά είναι μαθημαικά... Πάντως, αν εγώ έβλεπα την αρχική δική σας δημοσίευση (όπως την παραθέτει ο Μάκης) σε γραπτό πανελληνίων, δεν θα έδινα όλα τα μόρια διότι ο μαθητής θα έπρεπε να εξηγήσει γιατί υπάρχει η παράγωγος της φ στο χο (αφού αυτό δεν δίνεται).
Διαγραφή... και εννοείται ότι σε μια απάντηση μαθητή σαν αυτή που έδωσε ο Μάκης δεν θα έκοβα μόρια, όμως αναρωτιέμαι αν θα μπορούσε να τη δώσει μαθητής όταν (στο σχολείο και όχι στο φροντιστήριο) δεν έχει διδαχτεί τη μαθηματική λογική που χρησιμοποιεί ο Μάκης (άρνηση διάζευξης). Ή μήπως κάνω λάθος; Υπάρχει κάπου στο σχολικό βιβλίο;
ΔιαγραφήΠάντα γόνιμος ο διάλογος και οι αντιπαραθέσεις μας βοηθούν να βγάλουμε χρήσιμα συμπεράσματα. Καλό θα είναι βέβαια, να απουσιάζουν οι εγωισμοί και το επιθετικό ύφος γιατί δεν βοηθούν.
ΑπάντησηΔιαγραφήΝα προσθέσω και τη δική μου άποψη για το "Δ4. Χωρίς περιπτώσεις". Ο τρόπος του Ηλία πιστεύω ότι δεν χρειάζεται περιπτώσεις, αλλά στη διατύπωση θα προσέθετα μια πρόταση στην 3η γραμμή:
Η φ είναι παραγωγίσιμη, με φ'(χο)#0.
Και οι περιπτώσεις που παραθέτει ο συνάδελφος Αγκάθι είναι σωστές, αλλά κάπως υπερβολικές και όχι απαραίτητες.
Όσον αφορά τη βαθμολόγηση των πανελληνίων, θα μου επιτρέψετε το εξής σχόλιο. Επειδή στις ενδεικτικές απαντήσεις της Κ.Ε.Ε παρουσιάζονται οι 2 περιπτώσεις και στα βαθμολογικά κέντρα οι "οδηγίες" που προέκυψαν από την ενημέρωση των βαθμολογητών συνιστούν περικοπή μονάδων αν ο μαθητής δεν πάρει περιπτώσεις, κάθε τρόπος (επιστημονικά ορθός) χωρίς περιπτώσεις είναι επικίνδυνος γιατί είναι βέβαιο ότι ορισμένοι βαθμολογητές θα κόψουν μόρια αμέσως μόλις διαπιστώσουν ότι δεν υπάρχουν περιπτώσεις, χωρίς να μπουν στον κόπο να προβληματιστούν αν ο τρόπος του μαθητή (χωρίς περιπτώσεις) είναι σωστός.
Αν και συντονιστής της συζήτησης δεν επιτρέπεται να λάβω μέρος στη συζήτησή σας, όμως δεν γίνεται να μην συμφωνήσω απόλυτα με τον Αλκιβιάδη.
ΔιαγραφήΟ Αλκιβιάδης τα είπε όλα!
Καλό είναι όμως και η συζήτηση να γίνεται επώνυμα, ίσως εκεί να απελπίστηκε ο Ηλίας. Όσο για τα μαθηματικά είναι καθορισμένα, 1 + 1 κάνει 2, ούτε ενάμιση, ούτε τρία. Πολλές φορές δεν ξέρω πόσο κάνει, αλλά όταν το αποδείξουμε είμαστε σίγουροι για το αποτέλεσμα.
Όσο για τη διόρθωση των γραπτών χωρίς περιπτώσεις, γι αυτό την παρουσιάζουμε για να ΜΗΝ ξαφνιάσει τον βαθμολογητή. Γι αυτό αναρτώ όσες περισσότερες ισοδύναμες αποδείξεις για να το κάνω το έργο τους πιο εύκολο. Ο καθένας από τη θέση του προσθέτει ένα λιθαράκι στο οικοδόμημα.
Επομένως, συγχαρητήρια στον Ηλία που μας ανέδειξε έναν διαφορετικό τρόπο προσέγγισης και συμφωνώ με τον/την Αγκάθι που δεν έχει πεισθεί με την απόδειξη αυτή και να το αναζητά πιο πειστικά.
Ας μείνουμε στην καταγραφή των απόψεών μας, ήρεμα και όμορφα γιατί η πίεση έχει παρέλθει! Με καθαρό μυαλό πλέον και νηφάλια μπορούμε να συνεννοηθούμε! Γι αυτό θέλω να κάνουμε συνάντηση, έστω και διαδικτυακή για να γνωριστούμε και να μην υπάρχουν παρεξηγήσεις. Μόλις δούμε το στυλ - ύφος και διάθεση του καθενός όλαααα αυτά θα είναι παρελθόν!
Καλή συνέχεια!
Διαδικτυακή συνάντηση; Όχι άλλο webex για φέτος, έλεοοος! Χα χα χα ...
ΔιαγραφήΜια διόρθωση: εννοούσα η φ είναι παραγωγίσιμη στο χο.
ΑπάντησηΔιαγραφήΗ λύση του Δ4 (χωρίς περιπτώσεις) εμφανίστηκε σε γραπτό μαθητή που η τελική του βαθμολογία ήταν 100
ΑπάντησηΔιαγραφήΕυχαριστούμε για την ενημέρωση! Μπορείτε να πείτε σε ποιο Β.Κ;
ΔιαγραφήΜια που μιλάμε για διαφορετικούς τρόπους επίλυσης να αναφέρω και έναν ακόμα για το ερώτημα Δ2.
ΑπάντησηΔιαγραφήΜας χρειάζεται το πρόσημο της f' οπότε βρίσκοντας την ως ένα κλάσμα παρατηρούμε ότι ο αριθμητής είναι πολυώνυμο 1ου βαθμού με συντελεστή του x το lnΧο > 0 αφού Χο > 1. Έτσι τα πρόσημα πάνε - κ + χωρίς να χρειάζεται να βρούμε την f''.
Α δηλαδή για να χρησιμοποιηθούν οι βασικοί κανόνες της Μαθηματικής Λογικής πρέπει να τους αποδείξουμε κιόλας;
ΑπάντησηΔιαγραφήΠρέπει επειγόντως να κάνουμε την επανάσταση του αυτονόητου! Δυστυχώς!
ΔιαγραφήΌχι φίλε μου δεν χρειάζεται να τους αποδείξεις, είναι αποδεκτή χωρίς καμία αναφορά. Απλά για να το κατανοήσει ο/η "Αγκάθι" τα έγραψα πιο αναλυτικά.
ΔιαγραφήΗλία σε παρακαλώ βοήθησέ με, με τις γνώσεις σου και όχι με την αρνητική σου στάση.