Δευτέρα 2 Ιουνίου 2014

Πανελλαδικές Εξετάσεις 2014 - Online ενημέρωση - Μαθηματικά ΕΠΑΛ Α


 Αποθηκεύστε τα θέματα


και για τα εσπερινά ΕΠΑΛ πατήστε εδώ.



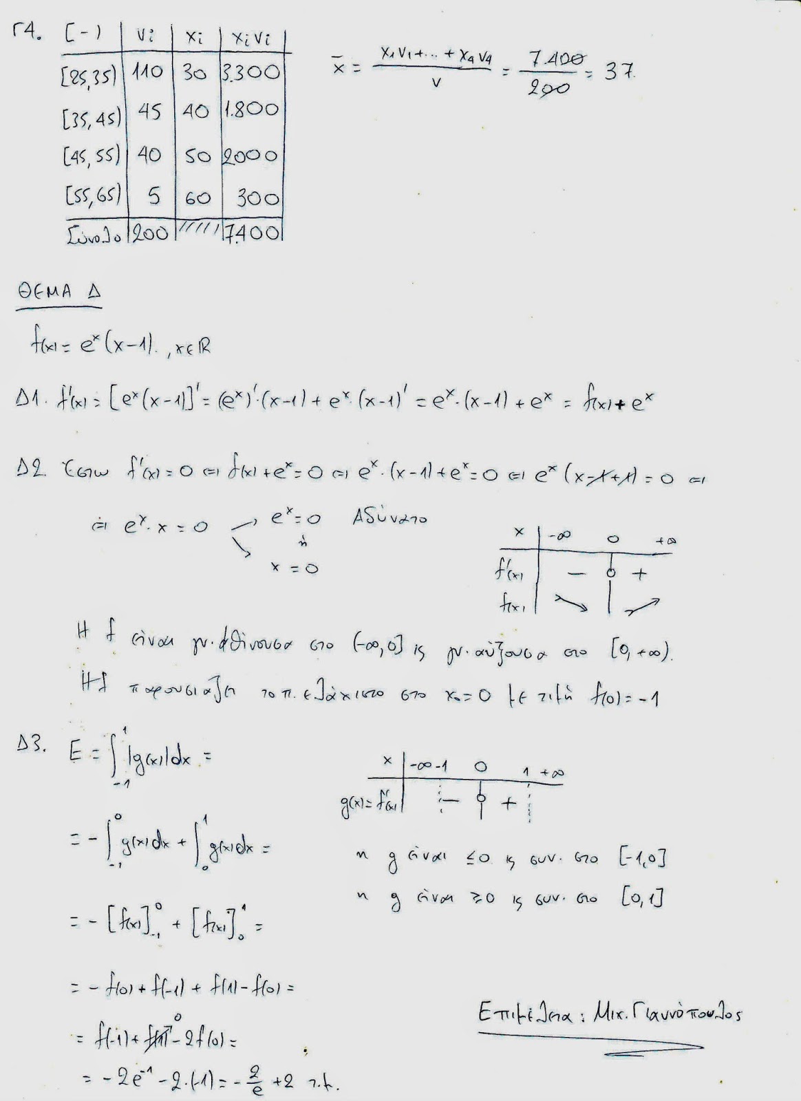
Δείτε τις χειρόγραφες λύσεις του Μιχάλη Γιαννόπουλου





















Δείτε τις λύσεις του Χρήστου Κανάβη



Το Καφενείο των Μαθηματικών άνοιξε και θα διανυκτερεύει...
Για πρώτη φορά θα κάνουμε στα ΕΠΑΛ ομάδας Α online ενημέρωση για τις εξετάσεις, ύστερα από προτροπή ενός μέλους (Θοδωρής) του blog. Θέλουμε και αναμένουμε την βοήθεια σας, αφού φέτος δεν εργάζομαι σε ΕΠΑΛ (αν και ξεκίνησα στην αρχή για 2 μήνες - εξού και κάποια φυλλάδια που προέκυψαν) και η επαφή μου δεν είναι η καλύτερη με το μάθημα. Θα δώσουμε μαζεμένα τα αρχεία θεωρίας, διαγωνίσματα και επαναληπτικές ασκήσεις. Σας ευχαριστώ για την ανταπόκρισή σας, έχουμε ξεπεράσει κάθε προσδοκία.

Α. Μια ημέρα πριν ... SOS Θέματα
Εδώ δίνουμε τις προβλέψει μας, εδώ δίνουμε τα SOS!

Θεωρία
Δείτε τις προτάσεις των συναδέλφων στα σχόλια

Ορισμοί 
Δείτε τις προτάσεις των συναδέλφων στα σχόλια

Σ-Λ 
Δείτε τις προτάσεις των συναδέλφων στα σχόλια

Ασκήσεις προτεινόμενες
Δείτε τις προτάσεις των συναδέλφων στα σχόλια

Β. Υλικό Προετοιμασία - Πριν τις Εξετάσεις...
Εδώ θα παραθέτουμε το υλικό που αφορά τις Πανελλήνιες εξετάσεις 2014 για το μάθημα των Μαθηματικών Κατεύθυνσης της Γ΄ Λυκείου. Λίγα και καλά... ό,τι προλάβουμε!

Από Θεωρία πρέπει να γνωρίζουμε... (για προσωπική μελέτη)
1. Θεωρία από τον Χρήστο Κανάβη



2. Σημειώσεις θεωρίας, παραδείγματα, ασκήσεις, από τον Νίκο Μακρή

Διαγωνίσματα - Η καλύτερη επανάληψη γίνεται μέσω διαγωνισμάτων

1. Προσομοίωση από την Αμερικάνικη Γεωργική Σχολή (προστέθηκαν λύσεις)
2. Τεστ και διαγωνίσματα

Επαναληπτικές ασκήσεις (για προσωπική μελέτη - καλό είναι να υπάρχουν και οι λύσεις)
1. Σημειώσεις στα Όρια, συνέχεια και Στατιστική, του Μιχάλη Γιαννόπουλου


Γ. Ημέρα εξέτασης - Μετά τις 10:00
  • Θέματα: Δείτε επίσημα εδώ (από την ιστοσελίδα του Υπουργείου Παιδείας) των ημερήσιων και εδώ των εσπερινών ΕΠΑΛ Α.
  • Λύσεις δείτε εδώ ή εδώ, τις υποδειγματικές λύσεις
  •  Σχολιασμός θεμάτων
Πολύ ωραία θέματα και καλά δομημένα. Το πρόβλημα βρίσκεται στο επίπεδο δυσκολίας, απευθύνεται σε μαθητές ΕΠΑΛ που δεν κάνουν Φροντιστήρια, το μάθημα στο σχολείο δεν γίνεται υπό τις καλύτερες συνθήκες και γενικότερα τα θέματα τα τελευταία χρόνια είχαν μια δεδομένη δυσκολία. 

Φέτος ξέφυγαν, δεν ξέρω αν κατ' ανάγκην πειράζει ή αν με ενοχλεί, αφού ο στόχος των μαθητών είναι να γράψει λίγο καλύτερα από τον διπλανό του... 

Τώρα αν δούμε το 75% κάτω από την βάση, τότε δεν νομίζω ότι πέτυχαν τον στόχο τους...

Τέλος δεν πρέπει να φαίνεται ότι πυροβολούμε την ΚΕΕ αφού δεν γνωρίζουμε και ούτε πρόκειται να την μάθουμε, άρα δεν προσβάλλουμε ούτε συκοφαντούμε κάποιον, οπότε όλοι είμαστε σωστοί! 

Η κριτική γίνεται καλοπροαίρετα και προσπαθούμε να βρούμε τις καλύτερες συνισταμένες - προδιαγραφές που πρέπει να τηρούμε, δεν είναι εύκολο και πολύ φοβάμαι ότι ούτε και εγώ θα τα κατάφερνα αν ήμουν μέλος της επιτροπής, αλλά ποιος είπε ότι είναι εύκολη υπόθεση; 
  •  Δελτίο Τύπου της Ε.Μ.Ε

34 σχόλια:

  1. Εκτιμώ ότι τα θέματα θα είναι αρκετά εύκολα μιας και οι περσινές καταργήσεις ειδικοτήτων του ΕΠΑΛ δημιούργησαν αρκετές αναταράξεις στην λειτουργία τους

    ΘΕΩΡΙΑ

    Πολλές φορές τα θέματα θεωρίας των ΕΠΑΛ ακολουθούν αυτά των Μαθηματικών Γενικής οπότε:
    Ορισμοί: Αύξουσα –Φθίνουσα (σ. 210) τοπικό μέγιστο- ελάχιστο (σ.212) παράγουσα (σ.198) Συνεχής συνάρτηση σε σημείο χ0 (σ.133) Συνεχής-παραγωγίσιμη συνάρτηση (σ.177) Αθροιστική συχνότητα (σ.65) επικρατούσα τιμή και CV

    Σ-Λ

    Πάντα μπαίνουν σε Σ-Λ η συμπλήρωση ιδιότητες ορίων κανόνες παραγώγισης τύποι παραγώγου και παράγουσας. Δηλαδή διαβάζουμε καλά τους πίνακες του σχολικού. Προσέξτε τον τύπο της παραγώγου σύνθετης συνάρτησης )Δείτε στο λυσάρι τα Σ-Λ του κου Μακρή (σ.160) είναι διαδραστικά και θα σας πάρει περίπου 45’ αλλά τα έχει όλα…

    ΑΣΚΗΣΕΙΣ


    Οι ασκήσεις του σχολικού είναι ότι χειρότερο υπάρχει στην Μαθηματική βιβλιογραφία άρα δεν πολυκοιτάμε εκεί.
    Στατιστική:Πιστεύω ότι αυτή τη φορά η στατιστική θα είναι 3ο και όχι 2ο θέμα (ίσως περιέχει πίνακα να βρούμε τα άκρα κλάσεων αλλά εύκολα πχ 3 κλάση από τις 5 έχει ακρα 4-6 βρείτε τις άλλες κλάσεις και συμπληρώστε πίνακα συχνοτήτων βρείτε μέση τιμή και CV). Επίσης ένα δεύτερο είδος άσκησης είναι με λίγες τιμές (όχι πίνακα) που μία τιμή θα ορίζεται με παράμετρο και θα δίνεται η μέση τιμή τους. Σ αυτή θα πρέπει να βρούμε την παράμετρο την τυπική απόκλιση και την ομοιογένεια (παλία έπεφτε κάθε χρόνο τέτοια).
    Ορια: Όριο εύκολο με δύο κλάδους που θα ορίζονται με ≠ και = και θα χρειάζεται παραγοντοποίηση τριωνύμου για άρση απροσδιοριστίας και εύρεση παραμέτρου για συνέχεια της f (ίσως με λύση δευτεροβάθμιας).
    Παράγωγοι- Ολοκληρώματα: Τέταρτο θέμα παράγωγος και μελέτη συνάρτησης και απόδειξη ανισότητας από μονοτονία ( εύρεση παραμέτρου με Fermat έπεσε πέρυσι) και ενβαδό χωρίου που σχηματίζεται από δύο συναρτήσεις.

    Αυτά και καλή επιτυχία σε όλους

    ΑπάντησηΔιαγραφή
  2. Καλησπέρα. Θεωρώ ότι τα θέματα θα κινηθούν στο επίπεδο δυσκολίας των περασμένων ετών, ίσως ένα κλικ ευκολότερα.

    Δηλαδή:
    ένα θέμα στατιστικής - συμπλήρωση πίνακα, πιιθανόν από ιστόγραμμα
    ένα θέμα με κλαδωτή συνάρτηση, να βρεθούν πλευρικά όρια και να εξεταστεί ως προς τη συνέχεια και
    ένα θέμα με μελέτη μονοτονίας, ακροτάτων και υπολογισμό ολοκληρώματος, αυτούσιο είτε μέσω εμβαδού
    +φυσικά τη θεωρία.
    Αν ξεφύγει έστω και στο ελάχιστο από τα παραπάνω, δεν αποκλείεται το ποσοστό των βαθμολογιών πάνω από τη βάση να είναι μονοψήφιο, οπότε...

    ΑπάντησηΔιαγραφή
  3. Καλησπέρα κι από μένα.
    Στο ΕΠΑΛ, η δομή των θεμάτων είναι ψιλοστάνταρ.
    Στο Θέμα Α έχουμε πάντα θεωρία. Αποδείξεις στα ΕΠΑΛ δεν έχει, οι ορισμοί είναι μετρημένοι. Ένας σοβαρός υποψήφιος οφείλει να έχει διαβάσει τους ορισμούς. SOS δεν υπάρχουν. Τα Σ-Λ βγάζουν συνήθως μάτι!
    Από τα Θέματα Β και Γ, πιθανότατα το ένα θα είναι όρια και το άλλο στατιστική (ανάλογα με τη δυσκολία). Όσον αφορά τα όρια θα παέσει σίγουρα κλαδωτή με απροσδιοριστία 0/0. Οπότε διαβάζετε καλά παραγοντοποίηση και συζυγή παράσταση. Για τη στατιστική συμφωνω με το Θοδωρή. Έχουν χρόνια να βάλουν λίγες τιμές, κάποια από της οποίες μπορεί να είναι και άγνωστη. Επίσης και πινακάκι ομαδοποιημένο είναι classic και έχει να πέσει 3 χρόνια.
    Στο Θέμα Δ, θα συνδυάζονται πιθανότατα παράγωγοι με ολοκληρώματα. Για Μονοτονία - ακρότατα δε συζητάμε (99% θα μπει). Από κει και πέρα το Θ. Fermat προσέξτε και τις ανισώσεις μέσω μονοτονίας (που βάζουν πιο συχνά σε επαναληπρικές είναι η αλήθεια). Τέλος, από ολοκληρώματα μάλλον ένα Εμβαδό (απλή περίπτωση, με Cf, x'x και δύο όρια ολοκλήρωσης). ΠΡΟΣΕΞΤΕ! Δεν έχουν ζητήσει ΠΟΤΕ ολοκλήρωμα με παραγοντική ολοκλήρωση. Είναι κάπως δύσκολο για τους μαθητές του ΕΠΑΛ, αλλά κάποια στιγμή θα βάλουν.
    Αυτά! Πολλοί μαθητές του ΕΠΑΛ δυσκολεύονται ακόμα και σε απλές πράξεις, οπότε δώστε λίγο περισσότερη προσοχή εκεί. Είναι κρίμα να χάσετε τσάμα μονάδες, ενώ ξέρετε τη μεθοδολογία.
    Καλή επιτυχία σε όλους.

    ΑπάντησηΔιαγραφή
  4. Παιδιά σας ευχαριστώ! Οι κατευθύνσεις σας είναι πολύ κατατοπιστικές!!

    ΑπάντησηΔιαγραφή
  5. Καλησπέρα και από μένα.

    Τα επαλ είναι ιδιαίτερη περίπτωση , ας περιοριστουμε στα μαθηματικά, όπου οι μαθητές έχουν δυσκολίες στις πράξεις , αρνητικούς αριθμούς , παραγοντοποιηση , πράξεις κλασμάτων και άλλα γυμνασιακού επιπέδου θέματα.

    Βέβαια υπάρχουν και οι συνειδητοποιημενοι μαθητές, μικρός αριθμός, που επιλεγούν τα επαλ όπου έχουν πολύ καλές βαθμολογίες στις εξετάσεις.

    Μακάρι να βελτιωθεί οι κατάσταση εκεί αλλά μάλλον δύσκολο για τα επόμενα χρόνια , δεδομένου οτι πρέπει να ξαναγράφει ένα άλλο βιβλίο , πιο προσιτό για τον μαθητή, ισως και με άλλη ύλη;

    Για αύριο δεν νομίζω οτι θα πρωτοτυπήσει η επιτροπή .

    Μάλλον θα βάλει αρκετά εύκολα θέματα με το 15 για όλους τους προετοιμασμένους και ένα τέταρτο θέμα μέτριας προς τα πάνω δυσκολίας για να ξεχωρίσουν αυτοί που επιλεγούν τις υψηλόβαθμες σχολές.

    Σαν θεωρία δεν έχουν βάλει την διατύπωση του Φερματ και τον ορισμό της παράγουσας.

    Τα σωστό λάθος και οι ερωτήσεις συμπληρώσεις θα είναι copy paste του σχολικού.

    Θέμα 2 πίνακας με κλάσεις , ίσως και με ιστόγραμμα που έχει να πέσει 3 χρονιές.

    Θέμα 3 συνάρτηση δικλαδη ή τρικλαδη που εξετάζει τα όρια , παραγοντοποιησεις , πράξεις με πραγματικούς αριθμούς.

    Θέμα 4 μπορεί να μπει πρόβλημα ρυθμού μεταβολής δηλαδή εύρεση συνάρτησης εμβαδού από ένα τρίγωνο ή ορθογώνιο παραλληλογραμμο και να βρουν μέγιστο ή ελάχιστο εμβαδόν , όποτε να μελετήσουν μονοτονία - ακρότατα ή να δώσουν μια συνάρτηση όποτε μελέτη μονοτονίας, θεώρημα Φερματ, και κάποιο ερώτημα εύρεσης εμβαδού .

    Βέβαια προσοχή στις πράξεις για όλους τους μαθητές.

    Εύχομαι επιτυχία σε όλους.

    ΑπάντησηΔιαγραφή
  6. Είναι αλήθεια ότι το επίπεδο των μαθητών επαλ είναι από κακό ως τραγικό.Είχα μαθητές που δυσκολέυονταν να κάνουν μια απλή διαίρεση π.χ 4/25 ή μια αφαίρεση 3-5 και έγραψαν 17 στα μαθηματικά.Γι αυτό και η δομή των θεμάτων είναι στανταρ και ακόμα και ένας μαθητής γυμνασίου θα έγραφε πάνω από τη βάση.Και εγείρεται το ερώτημα αν είναι δίκαιο να καταλαμβάνουν τόσες θέσεις σε τει στα οποία οι μαθητές των ενιαίων πρέπει να παλέψουν με πολύ δυσκολότερα θέματα,περισσότερη ύλη και πιο πολλά μαθήματα.Προβλέψεις:Όρισμός τι είναι έυρος,ή πότε η f είναι αύξουσα,Σ ή Λ
    με έμφαση στην στατιστική και συμπλήρωση κενών με 3 παραγωγίσης και 2 ολοκληρώματα.Θέμα στατιστικής να συμπληρωθεί ο πίνακας από ραβδόγραμμα αθροιστικών συχνοτήτων,μέση τιμή,διακύμανση,τυπική απόκλιση,cv,α βρεθεί το πλήθος και το ποσοστο των......που......τουλάχιστον..........ή το πολύ.
    Όρια κλαδωτή με τον ένα κλάδο 0/0 με τρίώνυμο στον αριθμητή και ρίζα στον παρονομαστή και στον άλλο παραμετρική.να βρεθούν τα πλευρικά και έπειτα να βρεθεί το α για να είναι συνεχής .Τέταρτο θέμα θα έχει μια τριτοβάθμια f πιθανότατα με παραμέτρους α,β και θα δίνει δύο σχέσεις για τον υπολογισμό τους.Μονοτονία-ακρότατα και εμβαδόν που περικλείεται απο τη ,τον χχ και τις ευθείες χ=...... και χ=........Θα χρειάζεται μελέτη του προσήμου και πιθανότατα θα χρειαστεί να σπάσουμε σε δύο ολοκληρώματα.Ας ολοκληρωθεί ομαλά μια χρονιά χωρίς παράπονα για τα μαθηματικά

    ΑπάντησηΔιαγραφή
  7. καλημέρα και καλή επιτυχία στους μαθητές των επάλ ,ελπίζω να μην δούμε προβλημα ρυθμού μεταβολής ...αλλα θεμα δευτερο στατιστική,τριτο πλευρικά με παραμετρο και συνέχεια σε σημείο και τεταρτο φερματ με ευρεση παραγωγου στο πρωτο ερώτημα και ενα εμβαδον στο τελος...

    ΑπάντησηΔιαγραφή
  8. ΚΛΑΣΙΚΑ ΚΑΙ ΕΥΚΟΛΟΤΕΡΑ ΑΠΟ ΠΕΡΥΣΙ ΝΟΜΙΖΩ

    ΑπάντησηΔιαγραφή
  9. Αυτό το σχόλιο αφαιρέθηκε από τον συντάκτη.

    ΑπάντησηΔιαγραφή
  10. ΟΡΙΣΜΟΣ ΣΥΝΕΧΕΙΑΣ ΜΟΝΟ ΔΕΥΤΕΡΟ ΟΡΙΟ ΜΕ ΔΙΚΛΑΔΗ ΠΟΥ ΟΡΙΖΕΤΑΙ ΜΕ ≠ και = ΚΑΙ ΕΥΡΕΣΗ ΠΑΡΑΜΕΤΡΟΥ (ΑΡΣΗ ΑΠΡΟΣΔΙΟΡΙΣΤΙΑΣ ΑΠΟ ΠΑΡΑΓΟΝΤΟΠΟΙΗΣΗ) 3 ΣΤΑΤΙΣΤΙΚΗ ΣΥΜΠΛΗΡΩΣΗ ΠΙΝΑΚΑ ΛΙΓΟ ΤΟ γ3 ΦΕΥΓΟΥΝ 5 ΕΡΧΟΝΤΑΙ 10 ΒΡΕΙΤΕ ΝΕΑ ΜΕΣΗ ΤΙΜΗ ΚΑΙ ΤΕΤΑΡΤΟ ΔΙΝΕΙ ΕΚΘΕΤΙΚΗ ΕΠΙ Χ-1 ΝΑ ΒΡΕΘΕΙ ΠΑΡΑΓΩΓΟ ΚΑΙ ΜΟΝΟΤΟΝΙΑ ΚΑΙ ΤΟ ΕΜΒΑΔΟ ΤΗς ΠΑΡΑΓΩΓΟΥ ΑΡΚΕΙ ΝΑ ΔΕΙΣ ΟΤΙ Η ΣΥΝΑΡΤΗΣΗ ΠΟΥ ΣΟΥ ΔΙΝΕΙ ΕΙΝΑΙ Η ΠΑΡΑΓΟΥΣΑ ...ΟΙ ΠΛΗΡΟΦΟΡΙΕΣ ΑΠΟ ΑΥΤΟΥΣ ΠΟΥ ΒΓΑΙΝΟΥΝ ΝΑ ΤΑ ΔΟΥΜΕ ΚΑΙ ΑΚΡΙΒΩΣ

    ΑπάντησηΔιαγραφή
  11. Λύσεις

    Θέμα Α:
    Α2: Σ, Λ, Λ, Λ, Σ
    Α3: α) f ' (x) - g ' (x)
    β) ημβ - ημα
    γ) | λ |

    Θέμα Β:
    Β1: α) Βγάζεις κοινό παράγοντα την f (x) και διαιρείς με (χ-2)
    β) 4
    γ) 4, αφού η f είναι συνεχής

    Σε λίγο η συνέχεια...

    ΑπάντησηΔιαγραφή
  12. γ2. μέση τιμή 24,5
    γ3. 25 τοις εκατό
    γ4. νέα μέση τιμή 37

    ΑπάντησηΔιαγραφή
  13. δ2 ολικό ελάχιστο στο χ=0
    δ3 .σπάσιμο ολοκληρωματος όποτε εμβαδόν (2e-2)/e

    ΑπάντησηΔιαγραφή
  14. Δυσκολότερα από προηγούμενες χρονιές, όχι καθαρά στο θέμα δυσκολίας, όσο στο κομμάτι της μη αναμενόμενης διατύπωσης. (για ΕΠΑΛ μιλάμε πάντα. Για τη συντριπτική πλειοψηφία τα Β3, Γ4 μοιάζουν... εξωγήινα) Θεωρώ ότι θα έχουμε τις χειρότερες βαθμολογίες των τελυταίων ετών

    ΑπάντησηΔιαγραφή
  15. Θέμα Γ:

    Γ1:
    100 30 3.000 50
    50 40 2.000 25
    40 50 2.000 20
    10 60 600 5
    --------------------------------------
    200 - 7.600 100

    Γ2: 38
    Γ3: 25%
    Γ4: 37

    ΑπάντησηΔιαγραφή
  16. Μάριε, στη μέση τιμή του Γ2 πρέπει να έχεις λάθος. 38 νομίζω βγαίνει, δες το λίγο.

    ΑπάντησηΔιαγραφή
  17. Θέμα Δ:

    Δ1: Κανόνας παραγώγισης γινομένου
    Δ2: Γν. φθίνουσα στο (-οο , 0] και γν. αύξουσα στο [0, + οο)
    Ελάχιστο στο χο = 0, με τιμή f (0) = -1
    Δ3: το Εμβαδόν βγαίνει με "σπάσιμο" στο -1, 0 και 0, 1 και το αποτέλεσμα είναι (2e-2)/e τ.μ.

    ΑπάντησηΔιαγραφή
  18. Γενικά σχόλια (κάνω χρόνια ΕΠΑΛ κι έχω σχετική εμπειρία):

    Το Θέμα Α ήταν αναμενόμενο χωρίς ιδιαίτερη δυσκολία.

    Το Θέμα Β ήταν σχετικά απλό, ΑΛΛΑ συμφωνώ με το συνάδελφο παραπάνω. Η διατύπωση των ερωτημάτων κατά πρώτο λόγο στο Β3, αλλά και στο Β1 ήταν ασυνήθιστη για μαθητές του ΕΠΑΛ. Θυμίζω ότι οι περισσότεροι από αυτούς έχουν σοβαρά κενά στα μαθηματικά και μαθαίνουν κάποιες τεχνικές για να πάνε να γράψουν. Όταν διαφοροποιείται λίγο η εκφώνηση από τα κλασικά, δημιουργούνται προβλήματα.

    Το Θέμα Γ ήταν κλασικό, το χαρακτηρίζω απλό, και πιστεύω οι περισσότεροι πήραν τις περισσότερες μονάδες συνολικά από το θέμα αυτό.

    Το θέμα Δ ήταν κι αυτό αναμενόμενο ως προς τα ερωτήματα. Το Δ2 είχε μία δυσκολία γιατί η παράγωγος ήταν δινόμενο με e εις την x και χ-1, κάτι που δυσκολεύει τους μαθητές. Τους βολεύουν περισσότερο οι πολυωνυμικές. Όσο για το εμβαδόν, ήθελε σπάσιμο και εκεί ήταν η όλη δυσκολία.

    Γενικά, τα θέματα πιστεύω ήταν μια χαρά και τα χαρακτηρίζω ελαφρώς δυσκολότερα από πέρυσι ή πρόπερσι.

    ΑπάντησηΔιαγραφή
  19. Παιδιά σας ευχαριστώ για την ενημέρωσή σας, το σηκώσατε μόνοι σας το θέμα!! Σ

    ίγουρα βοηθήσατε πολλούς, να είστε καλά, είμαι υπόχρεος και πάντα θα έχετε βήμα στο lisari.

    ΑπάντησηΔιαγραφή
  20. ΘΑ ΣΥΜΦΩΝΗΣΩ ΗΤΑΝ ΛΙΓΟ ΠΙΟ ΤΣΙΜΠΗΜΕΝΑ ΑΠΟ ΠΕΡΥΣΙ ΓΕΝΙΚΑ ΦΕΤΟΣ ΤΑ ΜΑΘΗΜΑΤΙΚΑ ΠΗΓΑΝ ΚΑΛΑ ΑΠΟ ΤΙΣ ΕΠΙΤΡΟΠΕΣ ΚΑΙ ΣΤΑ ΕΠΑΛ ΚΑΙ ΣΤΑ ΓΕΝΙΚΑ ΜΕ ΤΗΝ ΕΝΝΟΙΑ ΟΤΙ ΔΕΝ ΕΙΧΑΝ ΑΣΑΦΕΙΕΣ ΚΑΙ ΛΑΘΗ ΒΕΒΑΙΑ ΤΑ ΘΕΜΑΤΑ ΤΗΣ ΚΑΤΕΥΘΥΝΣΗΣ ΕΙΝΑΙ ΣΥΖΗΤΗΣΙΜΑ (ΠΡΟΣΩΠΙΚΑ ΤΑ ΒΡΗΚΑ ΑΝΟΣΤΑ)

    ΑπάντησηΔιαγραφή
  21. Θα συμφωνήσω ότι οι διατυπώσεις στο β1 , β2 , γ4 στο δ1 θέμα θα παραξένεψαν αρκετούς από τους μέτρια προετοιμασμενους μαθητές.

    Ρυθμό μεταβολής πάντως είχαν τα εσπερινά.

    ΑπάντησηΔιαγραφή
  22. Καλημερα κι απο μενα. Απο μαθηματικης πλευρας, ταθεματα ηταν κατανοητα και χωρις ασαφειες. Επειδη ομως μιλαμε για ΕΠΑΛ, δηλαδη για παιδια που δεν εχουν μαθηματικη λογικη και απλα μαθαινουν τυφλοσουρτι τις λυσεις των ασκησεων, χωρις να εμβαθυνουν στη θεωρια, θεωρω οτι τα θεματα ηταν δυσκολα.
    Το Β θεμα ειναι 10 σειρες η λυση του, αλλα δεν εχουν την τεχνοτροπια να το λυσουν.
    Το Γ4 ειναι απλη λογική, αλλα με το αγχος των εξετασεων δεν ξερω αν το σκεφτουν.
    Στο Δ θεμα, το δυσκολο ειναι το Δ1! Αν βρουν την παραγωγο, τα Δ2 και Δ3 είναι ερωτηματα δουλεμενα.

    ΑπάντησηΔιαγραφή
  23. ξέφυγαν από την πεπατημένη οδό τα θέματα.Δύσκολος ορισμός για την θεωρία,εύκολη στατιστική,το θέμα του ορίου ήταν ντροπιαστικά εύκολο αλλά με διατύπωση που θα μπέρδευε τον μαθητή και το δ είναι εκτός λογικής επαλ.Για πρώτη χρονιά δεν υπήρχε ούτε ένα τριώνυμο στα θέματα,ούτε να βρεθεί μια παράμετρος.Βάζω στοίχημα ότι από 15 και πάνω θα έχει γράψει ένα 5% των υποψηφίων

    ΑπάντησηΔιαγραφή
  24. αντι για xi στον πινακα εβαλα ki... ειναι λαθος ?
    στο φροντιστηριο μασ ειχαν πει οτι παει ki και παρασυρθηκα..... ξερει κανεις αν ειναι λαθος η σωστο ?
    θελω επιγοντος απαντηση γτ καηκα!

    ΑπάντησηΔιαγραφή
  25. και γενικα σε ολα ki εχω βαλει.

    ΑπάντησηΔιαγραφή
  26. Λεπτομέρεια, μην ανησυχείς, κοίτα τα υπόλοιπα μαθήματα τώρα, αυτό είναι το σημαντικό, ότι έγραψες έγραψες...

    ΑπάντησηΔιαγραφή
  27. καμια ελπιδα για σωστο δηλαδη ? :(

    ΑπάντησηΔιαγραφή
  28. Όχι φίλε μου... δεν είναι λάθος. Αλλά για να καταλάβω, αντί για xi έβαλες ki??

    ΑπάντησηΔιαγραφή
  29. Αν είναι έτσι δεν υπάρχει κανένα πρόβλημα, δεν το παρατηρήσει κανείς

    ΑπάντησηΔιαγραφή
  30. ναι αυτο εκανα και στο γ1 και στο γ2 και στο γ4!!
    μακαρι γτ δεν τα εχω παει και πολυ καλα στα αλλα... αρα λογικα σωστο ετσι?

    ΑπάντησηΔιαγραφή
  31. Συνήθως τα κέντρα συμβολίζονται με ki, αλλά συμφωνώ με τον Μάκη, δεν φαντάζομαι να βρεθεί βαθμολογητής που να σου κόψει έστω και μισό μόριο από αυτό.

    ΑπάντησηΔιαγραφή
  32. να 'στε καλα ρε παιδια ευχαριστω πολυ... :D
    γιατι ειχα απογοητευτη εντελως να πουμε... να 'στε καλα :D

    ΑπάντησηΔιαγραφή

Εκτιμάμε τους ανθρώπους που σέβονται τους συνομιλητές τους και διδάσκουν ήθος από τα πληκτρολόγιά τους.

Το lisari είναι χώρος που ενώνει φωνές, κάνει τις διαφορετικές δυνάμεις ομόρροπες.

Είναι εδώ για να ενώσει τους μαθηματικούς και να εκφραστούν μέσα από ένα μέσο. Επομένως, οι αντεγκλήσεις και οι προσβολές δεν μας τιμούν και δεν βοηθούν το σκοπό του εγχειρήματος.

Σας ευχαριστούμε για τη συμμετοχή και το ήθος σας!

Μάκης Χατζόπουλος